Връзки за достъпност

Извънредни новини

Как са изчислени митата на Тръмп


Президентът на САЩ Доналд Тръмп. Колаж.
Президентът на САЩ Доналд Тръмп. Колаж.

САЩ обложиха с тежки мита десетки държави, които искат да изнасят стоките си там. Вашингтон смята, че тази стъпка е справедлива и я нарича реципрочна. Но реципрочна на какво?

В сряда срещу четвъртък българско време президентът на САЩ Доналд Тръмп наложи мита на вноса от близо 100 държави по света. Часове по-късно много от тези страни казаха, че са шокирани от стойностите. Експерти повдигнаха въпроса по какъв начин са били изчислени митата и по каква причина САЩ ги смятат именно за реципрочни.

Има и друг въпрос - дали основният критерий на американската администрация наистина е бил в това кои държави поставят пречки пред износа на американски стоки, или нещо друго - че колкото повече е изнасяла една страна за САЩ, толкова по-високи са сега митата за нея.

Първото денонощие след решението на Тръмп произведе много догадки, преди да се оформи една хипотеза, която засега преобладава: Вашингтон не е наложил "мито срещу мито" в буквалния смисъл. Той е направил изчислението на база на търговския си дефицит с определени държави.

Какви са мотивите според Вашингтон

От пет десетилетия насам САЩ са в постоянен търговски дефицит, пише в съобщение на службата на търговския представител на страната. В текста се казва, че това е знак, че търговските модели, които държавата следва, са погрешни.

Доналд Тръмп отдавна твърди, че досегашната позиция на САЩ в световната търговия е неизгодна за тях, тъй като те са заляти от евтини вносни стоки, докато вътрешното производство спада и работните места намаляват. А през това време другите държави налагат правила, които превръщат американските стоки в неконкурентноспособни на техните пазари.

В резултат на подобни фактори от 1997 г. насам са били затворени над 90 000 американски фабрики, казва Вашингтон. И добавя, че производствената работна сила е намаляла с повече от 6,6 милиона работни места.

Какви са методите за изчисление според Тръмп

Първоначално се очакваше митата да бъдат изчислени на базата на вече наложени мита за американски стоки, както и на основата на други търговски пречки, поставени пред износа им. Това включва различни закони и регулации, които според Вашингтон може да са довели до дисбаланс в търговията, като ефектът от тях е значително по-труден за изчисление.

Тръмп твърди, че останалата част от света налага твърде високи мита на американските стоки. Той каза, че стойността на митата на САЩ ще бъде изчислена на базата на „комбинираната ставка на всички техни мита, непарични бариери и други форми на измама.“

Така ли е

При обявяването на новите мерки в сряда Тръмп каза, че митата, наложени сега от САЩ, се равняват на половината от тези, които другите държави налагат на страната му. Той се позова на таблица, на която изглежда са показани чуждестранните мита на американски продукти, „включително валутни манипулации и търговски бариери“.

Но действителните мита, които другите държави налагат на износа от САЩ, са в пъти по-ниски от описаните.

Според данни на Световната търговска организация митата на САЩ обикновено са по-ниски от тези на други държави, но въпреки това стойността на повечето е далеч под цитираните числа. Средната американска тарифа е около 2,2 % в сравнение с 2,7 % на ЕС, 3 % за Китай и 12 % за Индия.

В случая на ЕС в таблицата е вписано над 10 пъти по-голямо число - 39%.

"Много хора спекулираха, че Тръмп ще смята ДДС за мито, въпреки че [този данък] не е такъв", пише икономистът и нобелов лауреат Пол Кругман. "Но дори и това да е грешка, ставките на ДДС в ЕС са около 20 %, така че пак не може да се стигне до 39 %".

По-късно от официално правителствено становище стана ясно, че основен фактор при изчислението на "реципрочните" мита всъщност е бил по-скоро търговският дефицит на САЩ, отколкото конкретните пречки пред износа на американски стоки.

Какво е търговски дефицит

Накратко - търговски дефицит има, когато една държава внася повече, отколкото изнася. Това се нарича още отрицателен търговски баланс.

САЩ имат търговски дефицит спрямо повечето държави в света от няколко десетилетия насам. Много други държави по света също имат отрицателен търговски баланс, включително България.

Търговският дефицит сам по себе си не е показател за нестабилна икономика. Високите нива на внос могат да бъдат признак за по-висока покупателна способност на населението. Държави като Китай, Русия и Саудитска Арабия имат големи търговски излишъци, но и по-ниски нива на вътрешно потребление.

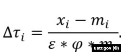
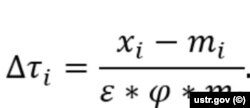
Каква е формулата

Математическата формула за изчисление на митата беше публикувана в сряда на сайта на Службата на търговския представител на САЩ.

Накратко, според посоченото описание на сайта, тя представлява търговския дефицит на САЩ спрямо дадена държава, разделен на внесените от нея стоки. Крайният резултат се разделя на две и така се получава стойността на ставката, подписана от Тръмп.

Няколко издания вече провериха достоверността на изчисленията. Китай например внася в САЩ стоки на стойност около 440 млрд. долара на година. САЩ внасят в Китай с 295 млрд. по-малко.

Според формулата дефицитът - 295 млрд., се разделя на вноса в САЩ - 440 млрд., което е равно на 67%. Разделено на две, резултатът е около 34%, колкото е и новото мито на САЩ за китайски стоки.

По подобен начин излизат сметките и с търговския дефицит на САЩ спрямо ЕС.

Има и някои изключения, сред които Великобритания, с която САЩ нямат търговски дефицит, но въпреки това въведоха 10% мито.

Какъв е търсеният резултат

В дългосрочен план администрацията на Тръмп цели да повиши американското производство и да увеличи работните места, макар и с цената на временни сътресения на вътрешния пазар вследствие на митата.

Според икономисти, с които разговаря BBC Verify, митата може да намалят търговския дефицит между САЩ и отделни държави, но няма да намалят общия дефицит на САЩ. Причината за това според тях е, че той не се дължи само на търговските пречки пред американските стоки, но и на начина, по който функционира американската икономика въобще.

Също така САЩ, както и много други страни, внасят много храни, които се произвеждат по-лесно при климатичните условия на други държави.


Форум

XS
SM
MD
LG